Статистика по изображению

407 КБ

Идентификатор изображения:234293
Размер файла:407 КБ
Автор:Машинист пивного крана
Опубликовано:09.01.2024 12:03 MSK
Находится на сайте, дней:816
Уникальных просмотров:424
Комментариев:0

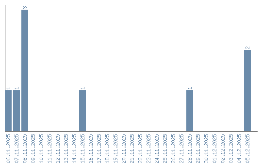
Динамика просмотров по датам