Статистика по изображению

787 КБ

Идентификатор изображения:233160
Размер файла:787 КБ
Автор:Роман Черинов
Опубликовано:26.12.2023 15:17 MSK
Находится на сайте, дней:841
Уникальных просмотров:964
Комментариев:4

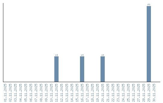
Динамика просмотров по датам