Statystyki dotyczące zdjęcia

632 KB

Identyfikator zdjęcia:232092
Rozmiar pliku:632 KB
Autor:Землинец
Opublikowano:11.12.2023 05:06 MSK
Znajduje się na stronie (dni):737
Wyświetleń:924
Komentarzy:0

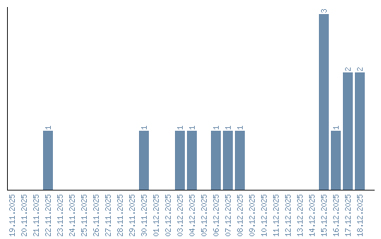
Dynamika wyświetleń (według dat)