Статистика по изображению

770 КБ

Идентификатор изображения:231999
Размер файла:770 КБ
Автор:Кирилл БЧ
Опубликовано:09.12.2023 21:55 MSK
Находится на сайте, дней:740
Уникальных просмотров:700
Комментариев:0

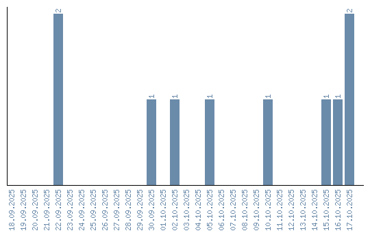
Динамика просмотров по датам