Статистика по изображению

490 КБ

Идентификатор изображения:23113
Размер файла:490 КБ
Автор:Машинист пивного крана
Опубликовано:28.04.2017 00:24 MSK
Находится на сайте, дней:3300
Уникальных просмотров:348
Комментариев:0

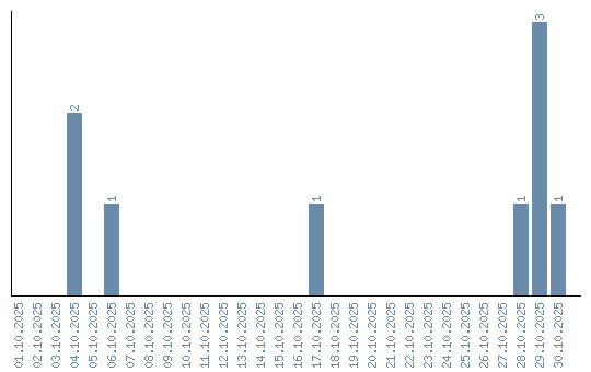
Динамика просмотров по датам