Statystyki dotyczące zdjęcia

553 KB

Identyfikator zdjęcia:229277
Rozmiar pliku:553 KB
Otrzymane od:Lasselan
Opublikowano:11.11.2023 18:48 MSK
Znajduje się na stronie (dni):725
Wyświetleń:455
Komentarzy:0

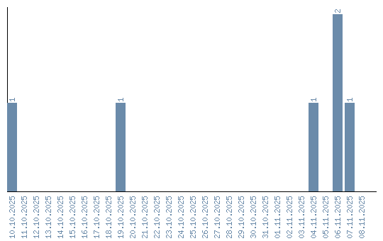
Dynamika wyświetleń (według dat)