Статистика по изображению

704 КБ

Идентификатор изображения:228283
Размер файла:704 КБ
Автор:Кирилл БЧ
Опубликовано:01.11.2023 12:08 MSK
Находится на сайте, дней:878
Уникальных просмотров:648
Комментариев:0

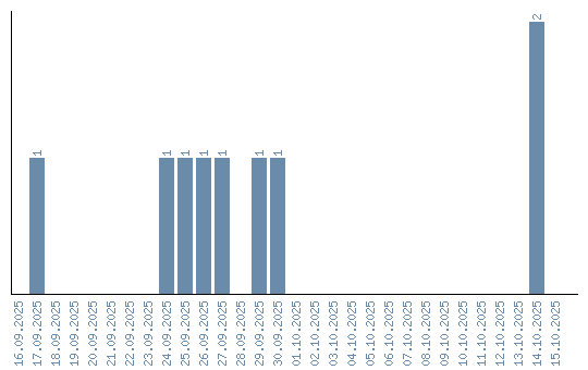
Динамика просмотров по датам