Статистика по изображению

656 КБ

Идентификатор изображения:227221
Размер файла:656 КБ
Автор:Artik
Опубликовано:22.10.2023 22:28 MSK
Находится на сайте, дней:794
Уникальных просмотров:495
Комментариев:0

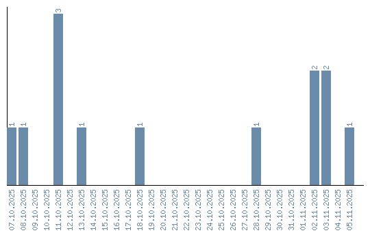
Динамика просмотров по датам