Статистика по изображению

541 КБ

Идентификатор изображения:223503
Размер файла:541 КБ
Автор:Машинист пивного крана
Опубликовано:14.09.2023 11:59 MSK
Находится на сайте, дней:850
Уникальных просмотров:530
Комментариев:0

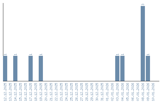
Динамика просмотров по датам