Статистика по изображению

364 КБ

Идентификатор изображения:222618
Размер файла:364 КБ
Автор:Матвей Разгоняев
Опубликовано:04.09.2023 19:55 MSK
Находится на сайте, дней:833
Уникальных просмотров:726
Комментариев:0

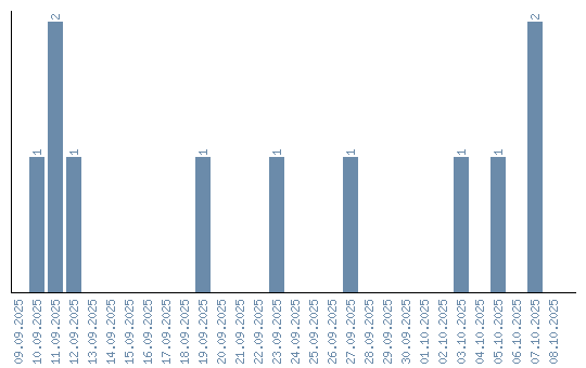
Динамика просмотров по датам