Статистика по изображению

262 КБ

Идентификатор изображения:222346
Размер файла:262 КБ
Прислал:01-06
Опубликовано:01.09.2023 22:30 MSK
Находится на сайте, дней:957
Уникальных просмотров:652
Комментариев:0

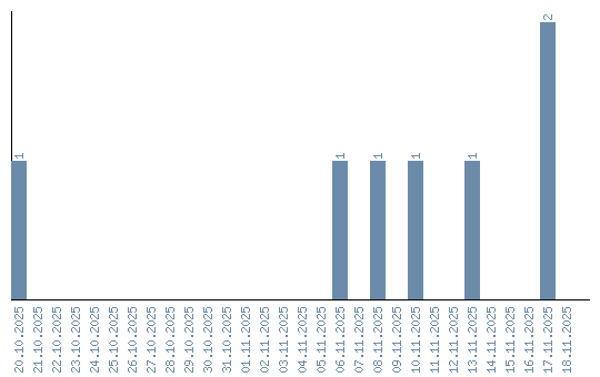
Динамика просмотров по датам