Statystyki dotyczące zdjęcia

700 KB

Identyfikator zdjęcia:219126
Rozmiar pliku:700 KB
Autor:luaz
Opublikowano:04.01.2017 11:47 MSK
Znajduje się na stronie (dni):3256
Wyświetleń:506
Komentarzy:2

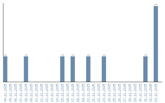
Dynamika wyświetleń (według dat)