Statistics about the image

691 KB

Identifier of the image:218743
File size:691 KB
Author:Илья Марченко
Published:26.07.2023 11:32 MSK
Published on the website, days:827
Unique views:361
Comments:0

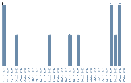
Views dynamics by dates