Статистика по изображению

832 КБ

Идентификатор изображения:216652
Размер файла:832 КБ
Автор:CrazyWad
Опубликовано:02.07.2023 18:11 MSK
Находится на сайте, дней:941
Уникальных просмотров:351
Комментариев:0

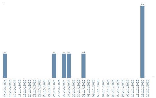
Динамика просмотров по датам