Статистика по изображению

682 КБ

Идентификатор изображения:216356
Размер файла:682 КБ
Автор:С. Шпиндлер
Опубликовано:28.06.2023 07:26 MSK
Находится на сайте, дней:926
Уникальных просмотров:727
Комментариев:0

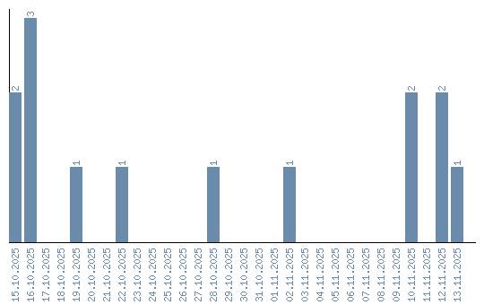
Динамика просмотров по датам