Statystyki dotyczące zdjęcia

782 KB

Identyfikator zdjęcia:21104
Rozmiar pliku:782 KB
Autor:Санёк93
Opublikowano:10.08.2015 19:41 MSK
Znajduje się na stronie (dni):3799
Wyświetleń:486
Komentarzy:5

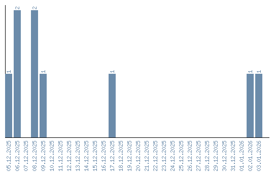
Dynamika wyświetleń (według dat)