Статистика по изображению

535 КБ

Идентификатор изображения:209747
Размер файла:535 КБ
Автор:Павел Коршунов
Опубликовано:02.04.2023 22:58 MSK
Находится на сайте, дней:1032
Уникальных просмотров:411
Комментариев:0

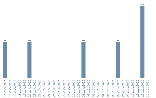
Динамика просмотров по датам