Statystyki dotyczące zdjęcia

848 KB

Identyfikator zdjęcia:204856
Rozmiar pliku:848 KB
Autor:Sherman
Opublikowano:21.02.2023 00:14 MSK
Znajduje się na stronie (dni):1018
Wyświetleń:537
Komentarzy:0

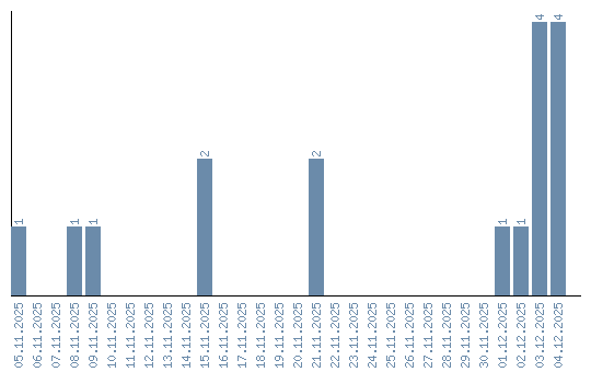
Dynamika wyświetleń (według dat)