Statystyki dotyczące zdjęcia

697 KB

Identyfikator zdjęcia:199462
Rozmiar pliku:697 KB
Autor:egor_zhdanovich_
Opublikowano:24.01.2023 16:21 MSK
Znajduje się na stronie (dni):993
Wyświetleń:496
Komentarzy:0

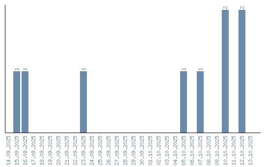
Dynamika wyświetleń (według dat)