Statystyki dotyczące zdjęcia

399 KB

Identyfikator zdjęcia:197360
Rozmiar pliku:399 KB
Otrzymane od:С. Шпиндлер
Opublikowano:03.07.2016 16:47 MSK
Znajduje się na stronie (dni):3442
Wyświetleń:166
Komentarzy:0

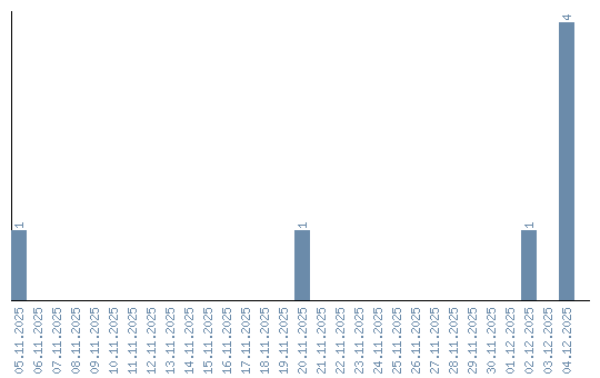
Dynamika wyświetleń (według dat)