Statistics about the image

721 KB

Identifier of the image:197165
File size:721 KB
Autor:IZ387
Published:12.01.2023 08:53 MSK
Published on the website, days:1057
Unique views:777
Comments:0

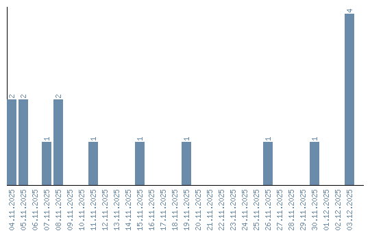
Views dynamics by dates