Statistics about the image

491 KB

Identifier of the image:197125
File size:491 KB
Autor:Novert
Published:01.09.2012 17:21 MSK
Published on the website, days:4856
Unique views:356
Comments:7

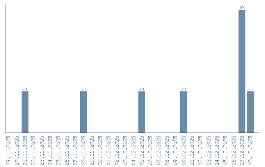
Views dynamics by dates