Statystyki dotyczące zdjęcia

454 KB

Identyfikator zdjęcia:189474
Rozmiar pliku:454 KB
Autor:Rail&Landscape
Opublikowano:02.09.2021 22:22 MSK
Znajduje się na stronie (dni):1557
Wyświetleń:969
Komentarzy:12

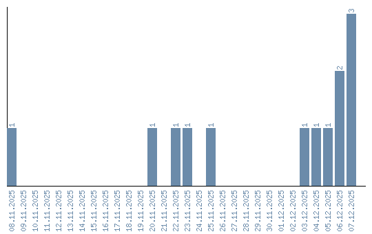
Dynamika wyświetleń (według dat)