Statystyki dotyczące zdjęcia

713 KB

Identyfikator zdjęcia:169425
Rozmiar pliku:713 KB
Autor:Айдаров Д
Opublikowano:13.01.2015 20:35 MSK
Znajduje się na stronie (dni):4013
Wyświetleń:547
Komentarzy:3

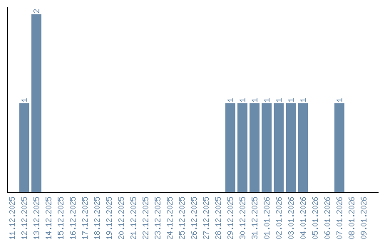
Dynamika wyświetleń (według dat)