Статистика по изображению

460 КБ

Идентификатор изображения:16808
Размер файла:460 КБ
Автор:Машинист пивного крана
Опубликовано:02.01.2015 22:27 MSK
Находится на сайте, дней:4128
Уникальных просмотров:354
Комментариев:0

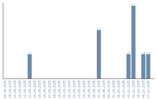
Динамика просмотров по датам