Statystyki dotyczące zdjęcia

920 KB

Identyfikator zdjęcia:162218
Rozmiar pliku:920 KB
Autor:Воздух Свободы
Opublikowano:16.10.2017 19:30 MSK
Znajduje się na stronie (dni):2985
Wyświetleń:783
Komentarzy:8

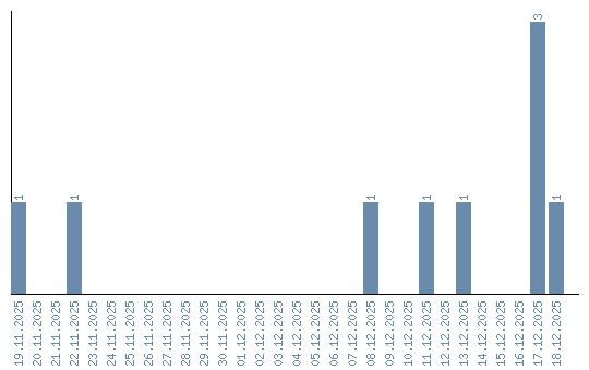
Dynamika wyświetleń (według dat)