Статистика по изображению

491 КБ

Идентификатор изображения:156152
Размер файла:491 КБ
Автор:михаил кашкинов
Опубликовано:22.06.2022 08:25 MSK
Находится на сайте, дней:1375
Уникальных просмотров:1006
Комментариев:0

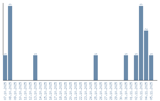
Динамика просмотров по датам