Statystyki dotyczące zdjęcia

519 KB

Identyfikator zdjęcia:151308
Rozmiar pliku:519 KB
Autor:Гений 4
Opublikowano:30.11.2016 22:44 MSK
Znajduje się na stronie (dni):3236
Wyświetleń:362
Komentarzy:0

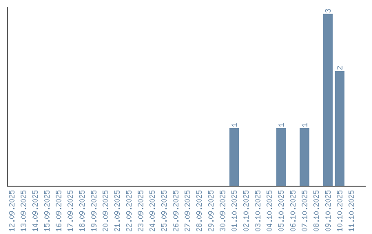
Dynamika wyświetleń (według dat)