Статистика по изображению

524 КБ

Идентификатор изображения:151011
Размер файла:524 КБ
Автор:Гений 4
Опубликовано:24.10.2016 11:14 MSK
Находится на сайте, дней:3269
Уникальных просмотров:417
Комментариев:0

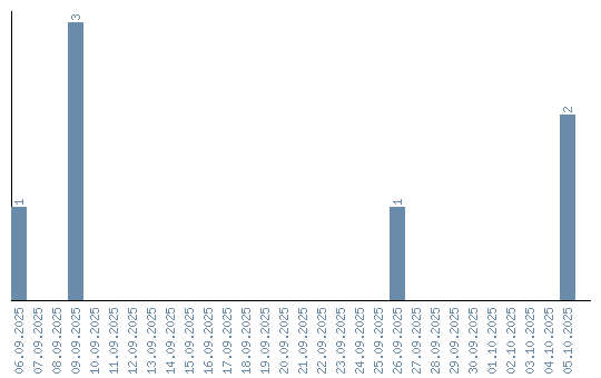
Динамика просмотров по датам