Статистика по изображению

634 КБ

Идентификатор изображения:150160
Размер файла:634 КБ
Автор:Гений 4
Опубликовано:06.02.2016 10:56 MSK
Находится на сайте, дней:3721
Уникальных просмотров:560
Комментариев:0

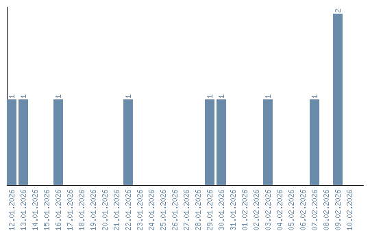
Динамика просмотров по датам