Statystyki dotyczące zdjęcia

671 KB

Identyfikator zdjęcia:149008
Rozmiar pliku:671 KB
Autor:Илья Обухов
Opublikowano:27.10.2019 17:29 MSK
Znajduje się na stronie (dni):2306
Wyświetleń:374
Komentarzy:0

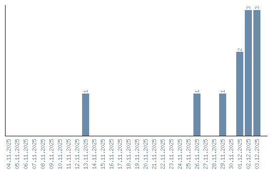
Dynamika wyświetleń (według dat)