Статистика по изображению

412 КБ

Идентификатор изображения:147131
Размер файла:412 КБ
Автор:Белкин Андрей
Опубликовано:26.11.2019 20:12 MSK
Находится на сайте, дней:2221
Уникальных просмотров:436
Комментариев:0

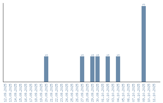
Динамика просмотров по датам