Statystyki dotyczące zdjęcia

432 KB

Identyfikator zdjęcia:141948
Rozmiar pliku:432 KB
Autor:Воздух Свободы
Opublikowano:08.10.2013 15:33 MSK
Znajduje się na stronie (dni):4434
Wyświetleń:595
Komentarzy:0

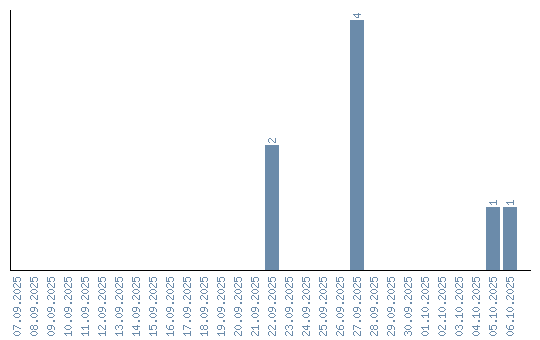
Dynamika wyświetleń (według dat)