Statystyki dotyczące zdjęcia

689 KB

Identyfikator zdjęcia:13931
Rozmiar pliku:689 KB
Autor:Romario
Opublikowano:15.11.2019 15:48 MSK
Znajduje się na stronie (dni):2173
Wyświetleń:390
Komentarzy:1

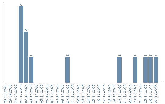
Dynamika wyświetleń (według dat)