Статистика по изображению

510 КБ

Идентификатор изображения:135200
Размер файла:510 КБ
Автор:mashinist23
Опубликовано:06.06.2017 18:14 MSK
Находится на сайте, дней:3053
Уникальных просмотров:362
Комментариев:0

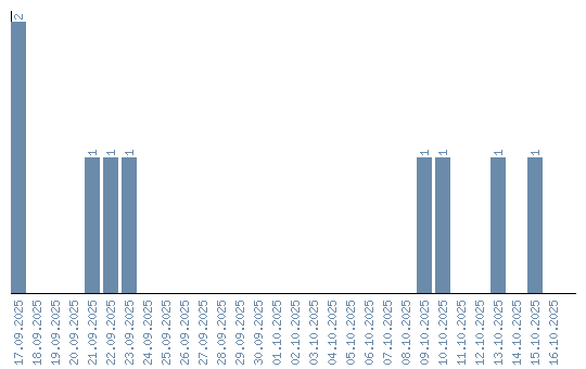
Динамика просмотров по датам