Statystyki dotyczące zdjęcia

793 KB

Identyfikator zdjęcia:131409
Rozmiar pliku:793 KB
Autor:Алексей Боев
Opublikowano:09.08.2019 18:57 MSK
Znajduje się na stronie (dni):2251
Wyświetleń:555
Komentarzy:4

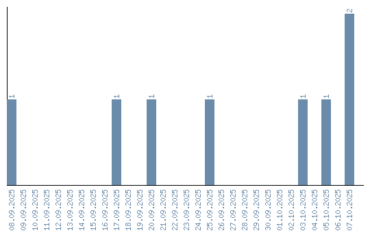
Dynamika wyświetleń (według dat)