Статистика по изображению

770 КБ

Идентификатор изображения:130748
Размер файла:770 КБ
Автор:AlLeZaN
Опубликовано:08.11.2019 22:31 MSK
Находится на сайте, дней:2298
Уникальных просмотров:453
Комментариев:7

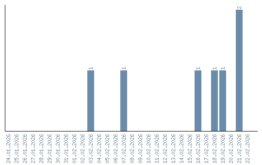
Динамика просмотров по датам