Статистика по изображению

369 КБ

Идентификатор изображения:125586
Размер файла:369 КБ
Автор:Воздух Свободы
Опубликовано:24.05.2016 14:33 MSK
Находится на сайте, дней:3578
Уникальных просмотров:499
Комментариев:1

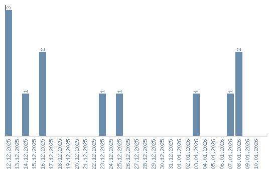
Динамика просмотров по датам