Statystyki dotyczące zdjęcia

987 KB

Identyfikator zdjęcia:123164
Rozmiar pliku:987 KB
Autor:huntertrains
Opublikowano:06.10.2019 17:23 MSK
Znajduje się na stronie (dni):2237
Wyświetleń:455
Komentarzy:5

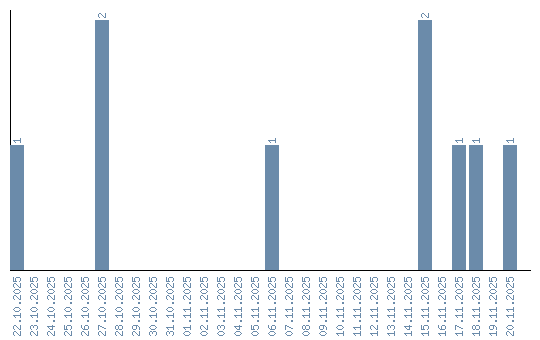
Dynamika wyświetleń (według dat)