Статистика по изображению

491 КБ

Идентификатор изображения:122693
Размер файла:491 КБ
Автор:Winnie the Pooh
Опубликовано:08.07.2013 19:11 MSK
Находится на сайте, дней:4677
Уникальных просмотров:347
Комментариев:0

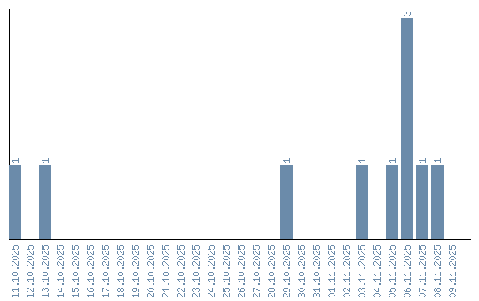
Динамика просмотров по датам