Statystyki dotyczące zdjęcia

847 KB

Identyfikator zdjęcia:112864
Rozmiar pliku:847 KB
Otrzymane od:kapral23
Opublikowano:23.04.2022 07:07 MSK
Znajduje się na stronie (dni):1336
Wyświetleń:577
Komentarzy:0

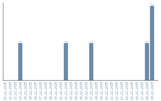
Dynamika wyświetleń (według dat)