Статистика по изображению

475 КБ

Идентификатор изображения:110407
Размер файла:475 КБ
Автор:andrey92
Опубликовано:11.07.2019 15:18 MSK
Находится на сайте, дней:2396
Уникальных просмотров:472
Комментариев:0

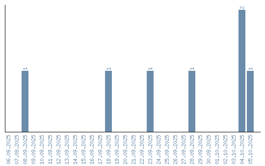
Динамика просмотров по датам