Statystyki dotyczące zdjęcia

616 KB

Identyfikator zdjęcia:103092
Rozmiar pliku:616 KB
Autor:Воздух Свободы
Opublikowano:20.07.2014 18:39 MSK
Znajduje się na stronie (dni):4189
Wyświetleń:668
Komentarzy:1

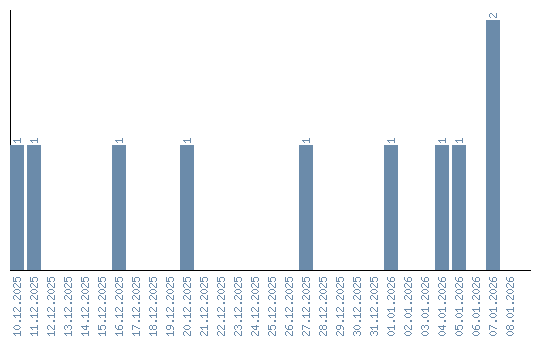
Dynamika wyświetleń (według dat)