Statistics about the image

637 KB

Identifier of the image:102395
File size:637 KB
Author:Воздух Свободы
Published:25.07.2019 19:28 MSK
Published on the website, days:2417
Unique views:457
Comments:0

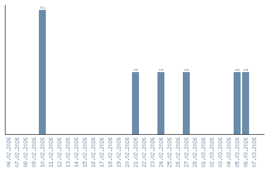
Views dynamics by dates