Статистика по изображению

698 КБ

Идентификатор изображения:267158
Размер файла:698 КБ
Автор:Bahnbilder von W. and H. Brutzer
Опубликовано:01.01.2025 22:05 MSK
Находится на сайте, дней:372
Уникальных просмотров:284
Комментариев:0

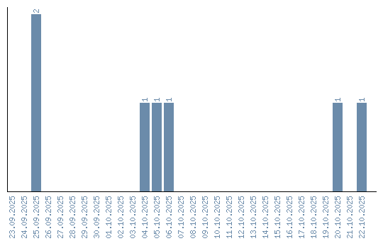
Динамика просмотров по датам