Статистика по изображению

827 КБ

Идентификатор изображения:257242
Размер файла:827 КБ
Автор:Bahnbilder von W. and H. Brutzer
Опубликовано:29.09.2024 13:54 MSK
Находится на сайте, дней:512
Уникальных просмотров:292
Комментариев:0

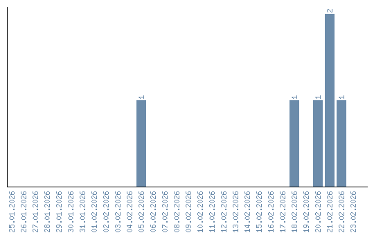
Динамика просмотров по датам