Статистика по изображению

791 КБ

Идентификатор изображения:253621
Размер файла:791 КБ
Автор:Sergio76
Опубликовано:12.08.2024 20:03 MSK
Находится на сайте, дней:448
Уникальных просмотров:590
Комментариев:0

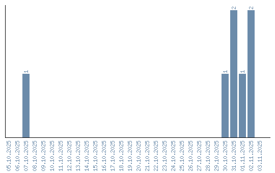
Динамика просмотров по датам