Statystyki dotyczące zdjęcia

837 KB

Identyfikator zdjęcia:8133
Rozmiar pliku:837 KB
Autor:Parom
Opublikowano:20.01.2020 09:34 MSK
Znajduje się na stronie (dni):2244
Wyświetleń:558
Komentarzy:5

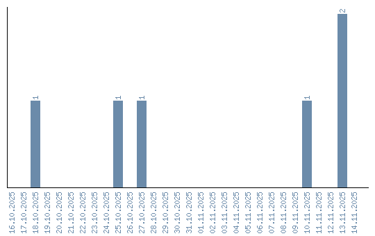
Dynamika wyświetleń (według dat)