Statystyki dotyczące zdjęcia

456 KB

Identyfikator zdjęcia:54159
Rozmiar pliku:456 KB
Autor:Роман Черинов
Opublikowano:31.07.2012 01:21 MSK
Znajduje się na stronie (dni):4966
Wyświetleń:604
Komentarzy:0

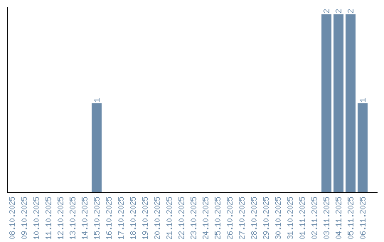
Dynamika wyświetleń (według dat)