Statystyki dotyczące zdjęcia

479 KB

Identyfikator zdjęcia:53076
Rozmiar pliku:479 KB
Autor:smatvey
Opublikowano:21.12.2014 19:37 MSK
Znajduje się na stronie (dni):4037
Wyświetleń:394
Komentarzy:0

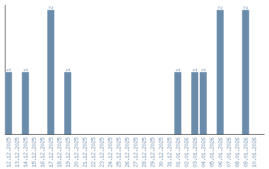
Dynamika wyświetleń (według dat)